Myślisz, że umiesz oszczędzać? A może ci się tylko tak wydaje? W czasach rosnących cen, wojen i gospodarczej niepewności skuteczne zarządzanie pieniędzmi to konieczność. Ten quiz sprawdzi, czy znasz się na finansach! Pytamy m.in. o to, czym jest procent składany i poduszka finansowa. Jeśli to wiesz,...
Ilość odsłon: 53
źródło: https://businessinsider.com.pl/sprawdz-czy-umiesz-oszczedzac-i-znasz-sie-na-finansach-wiekszosc-obleje/qlpvdn6
dodano: 2025-07-19 08:49:02
Inne znaleziska:
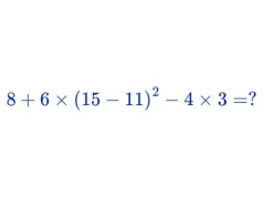
Myślisz, że umiesz szybko liczyć? Sprawdź się w tej łamigłówce
hub.pl
Szybkie liczenie to umiejętność, która bardzo często przydaje się w codziennym życiu. Z tego względu warto ją ćwiczyć, rozwiązując zagadki matematyczne. Myślisz, że poradzisz sobie z przygotowanym przez nas równaniem? Spróbuj rozwiązać łamigłówkę w m...
hub.pl, 2025-09-02 07:20:15
2025-09-02 07:20:15
Jak szybko umiesz liczyć? Ta zagadka to sprawdzi
hub.pl
Jeśli szukasz sposobu na polepszenie pracy swojego mózgu, zagadki matematyczne to idealne zajęcie dla ciebie. Krótkie łamigłówki i szybkie obliczenia rozwijają spostrzegawczość, koncentrację, a także logiczne myślenie. To świetna forma rozrywki, któr...
hub.pl, 2025-09-18 06:25:45
2025-09-18 06:25:45
Gminy nie będą już mogły oszczędzać na godzinach ponadwymiarowych nauczycieli
portalsamorzadowy.pl
Nie ma już żadnych przeszkód dla jednolitego sposobu rozliczania godzin ponadwymiarowych. Sejmowa Komisja Edukacji i Nauki przyjęła poprawkę przywracającą przepis nowelizacyjny w tej kwestii, który Związkowi Gmin Wiejskich RP zaledwie miesiąc wcześni...
portalsamorzadowy.pl, 2025-07-22 20:06:15
2025-07-22 20:06:15
Ważna funkcja w mObywatelu. Można oszczędzać dzięki rządowej aplikacji
android.com.pl
Jednym z dokumentów, które od dawna są dostępne w aplikacji mObywatel, jest Karta Dużej Rodziny. Dzięki niej rodziny wielodzietne zyskują łatwiejszy dostęp do tysięcy zniżek na wakacyjne podróże, kulturę czy rozrywkę. Ministerstwo Cyfryzacji przypomi...
android.com.pl, 2025-07-25 19:34:04
2025-07-25 19:34:04
Jak oszczędzać na prądzie, susząc ubrania?
jaw.pl
Suszenie ubrań to codzienna czynność, która potrafi znacząco obciążyć domowy budżet, zwłaszcza gdy korzystamy z tradycyjnych suszarek o dużym zużyciu energii. W dobie rosnących cen prądu coraz więcej osób szuka sposobów, by zredukować koszty bez komp...
jaw.pl, 2025-07-26 01:31:23
2025-07-26 01:31:23
Zrób tak, a pralka zacznie oszczędzać prąd i wodę. Polacy nieświadomie marnują swoje pieniądze
biznesinfo.pl
Przy szybko rosnących wydatkach wiele osób poszukuje różnych sposobów na oszczędzanie, a jednocześnie nie ma zamiaru rezygnować z podstawowych wygód. Wbrew pozorom jest to osiągalne, na przykład poprzez zmianę naszego podejścia do prania ubrań. Możem...
biznesinfo.pl, 2025-08-22 13:37:04
2025-08-22 13:37:04
Gadżet do laptopa za grosze, który pozwala oszczędzać grube tysiące. Nie wyobrażam sobie już go nie mieć
antyweb.pl
Tani, niepozorny, niezwykle efektywny. To jedyne akcesorium do laptopa, z którym nigdy się nie rozstaję.
antyweb.pl, 2025-08-31 08:01:05
2025-08-31 08:01:05
innpoland.pl
Polacy oszczędzają średnio 2 proc. swojego dochodu. Na tle Europy wypadamy fatalnie – gorzej jest tylko w Grecji i Rumunii. – Ludzie wydają w Polsce miliardy na lotto, a giełdę traktują jak kasyno. Powinno być odwrotnie. Na giełdzie można kupić dobrz...
innpoland.pl, 2025-09-07 16:17:20
2025-09-07 16:17:20
Polacy zaczęli więcej oszczędzać na emeryturę na IKZE. Nowe dane zaskakują
businessinsider.com.pl
Przez ostatnie pół roku Polki i Polacy przekazali na swoje konta IKZE ponad 2 mld zł. To znacznie więcej niż w analogicznym okresie rok wcześniej. Ponadto wzrosła liczba osób, które w ten sposób oszczędzają środki na swoją emeryturę.
businessinsider.com.pl, 2025-09-07 17:02:03
2025-09-07 17:02:03
Polscy konsumenci w coraz lepszych nastrojach. I częściej chcą oszczędzać
bankier.pl
Optymizm dotyczy nie tylko obecnej sytuacji finansowej gospodarstw domowych, ale też perspektyw dla całego kraju. Znamienna jest też rekordowo wysoka skłonność do oszczędzania pieniędzy.
bankier.pl, 2025-09-17 13:37:24
2025-09-17 13:37:24