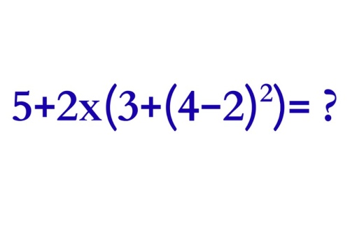
Na pierwszy rzut oka to zwykłe działanie z nawiasem i potęgą. W praktyce wiele osób popełnia przy nim ten sam błąd, zapominając o bardzo ważnej zasadzie. To prosty przykład, który pokazuje, jak łatwo o pomyłkę nawet po latach od zakończenia szkoły. Sprawdź, czy potrafisz go prawidłowo rozwiązać.
Ilość odsłon: 3
źródło: https://top.pl/ciekawostki/news-jedno-dzialanie-kilka-pulapek-ten-prosty-przyklad-potrafi-zm,nId,8067814
dodano: 2026-02-24 12:01:04
Inne znaleziska:
Ten quiz o autach PRL zawiera kilka pułapek. Ale i tak nie wypada mieć gorszego wyniku niż 8/11
auto-swiat.pl
Ten quiz będzie na tyle łatwy, że twoja czujność może zostać uśpiona i bęc, nawet nie zauważysz pułapek i podchwytliwości, którymi okrasiliśmy ten zestaw pytań. Skoro już zostałeś/-aś ostrzeżony, to naprawdę nie przystoi ci gorszy wynik niż 8/11.
auto-swiat.pl, 2025-10-16 19:17:08
2025-10-16 19:17:08
​Internet oszalał przez to jedno działanie. Spróbujesz je policzyć bez pomyłki?
top.pl
Z pozoru banalne równanie znów podzieliło internetowych użytkowników. Jedni liczą je w pamięci w kilka sekund, inni wpadają w pułapkę kolejności działań. Sprawdź, czy poradzisz sobie z zagadką, która wywołała lawinę komentarzy.
top.pl, 2025-11-23 10:56:29
2025-11-23 10:56:29
Jedno działanie, a tyle błędów. Sprawdź się!
hub.pl
Każdy próbujący wskazać kolejną liczbę popełnia ten sam błąd, przez co zagadka nadal nie zostaje rozwiązana. Jak nie dać się złapać na haczyk? Skorzystaj z nieszablonowego myślenia.
hub.pl, 2026-02-10 17:37:08
2026-02-10 17:37:08
To jedno działanie podzieliło internet. Jaki jest wynik?
hub.pl
Coraz prostsze z pozoru działania potrafią doprowadzić internautów do gorących dyskusji. W najnowszym wyzwaniu problemem nie jest trudność działania, lecz sposób jego interpretacji. Właśnie dlatego ta zagadka matematyczna znów podzieliła sieć.
hub.pl, 2026-02-24 06:55:14
2026-02-24 06:55:14
Jedno ustawienie i nawet 20% oszczędności. Tak poprawisz działanie pompy ciepła
kb.pl
Masz pompę ciepła i coś się nie zgadza — rachunki rosną, a w domu raz za chłodno, raz za ciepło? To wcale nie musi być wina urządzenia. Często wystarczy jeden źle dobrany parametr: krzywa grzewcza. I właśnie ona potrafi po cichu podbijać koszty oraz...
kb.pl, 2026-02-24 19:10:07
2026-02-24 19:10:07
Tylko głupiec kupuje kota w worku. Oto jak uniknąć pułapek przy zakupie auta używanego
autocentrum.pl
Rynek samochodów używanych jest trochę jak dżungla. Z pozoru wszystko wygląda dobrze: niskie ceny, lśniący lakier, świeżo wyprana tapicerka i sprzedawca, który przysięga, że „auto jeździło tylko do kościoła, prowadzoną przez stars...
autocentrum.pl, 2025-08-17 16:58:04
2025-08-17 16:58:04
Autocasco na auto elektryczne – umowa pełna pułapek
autokult.pl
W wielu sytuacjach, kiedy auto spalinowe da się bez większego problemu naprawić, w przypadku elektrycznego następuje szkoda całkowita. Jakiekolwiek naruszenie struktury akumulatora eliminuje go z użycia. Koszty napraw pokolizyjnych samochodów na prąd...
autokult.pl, 2025-08-19 08:39:02
2025-08-19 08:39:02
Logika często nas zawodzi. 6 pułapek myślowych, w które wpadasz
holistic.news
Wydaje Ci się, że kierujesz się logiką? Nic bardziej mylnego. Psycholodzy dowodzą, że większość decyzji opieramy na iluzjach i błędnych przekonaniach. Oto 6 najczęstszych pułapek myślowych, które mogą sabotować Twoje relacje, karierę i zdrowie – i sp...
holistic.news, 2025-08-22 18:01:05
2025-08-22 18:01:05
Leasing auta, czyli darmowy kredyt? Podpowiadamy, jakie auto warto wziąć w leasing i jak uniknąć pułapek podatkowych
auto-swiat.pl
Dla drobnych przedsiębiorców leasing samochodu wygląda trochę jak tani, albo nawet darmowy kredyt. Leasing to jednak coś więcej, bo w każdej firmie – w tym w jednoosobowej działalności gospodarczej – przynosi on koszty pozwalające obniżać płacone pod...
auto-swiat.pl, 2025-10-18 08:47:10
2025-10-18 08:47:10
Spadek bez stresu – dowiedz się, jak uniknąć pułapek prawnych
rmf24.pl
Co roku setki tysięcy Polaków stają przed dylematami związanymi z dziedziczeniem, testamentami i podziałem majątku. Błędy popełnione w tych trudnych chwilach mogą prowadzić do wieloletnich rodzinnych sporów i finansowych problemów. Już w sobotę 22 li...
rmf24.pl, 2025-11-22 07:15:42
2025-11-22 07:15:42