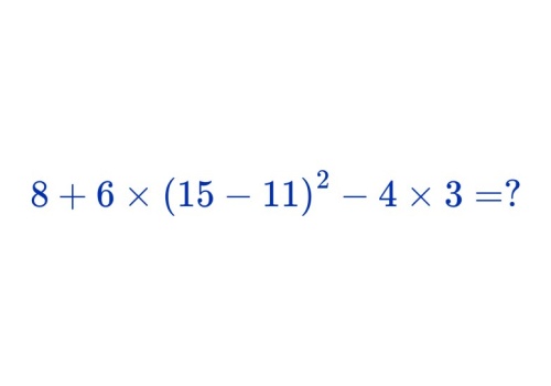
Na pierwszy rzut oka wygląda banalnie, ale w praktyce wiele osób podaje zły wynik. To krótkie działanie matematyczne pokazuje, jak łatwo zapomnieć o podstawowych zasadach liczenia. Sprawdź, czy potrafisz je rozwiązać poprawnie i czy pamiętasz kolejność wykonywania działań.
źródło: https://top.pl/ciekawostki/news-proste-dzialanie-a-tyle-pomylek-sprawdz-czy-znasz-kolejnosc-,nId,8070218
dodano: 2026-03-09 10:36:05
Inne znaleziska:
Proste działanie, które myli większość ludzi. Sprawdź, czy wyliczysz
hub.pl
Wygląda na banalne wyrażenie arytmetyczne, ale wiele osób nie jest w stanie wykonać obliczeń w pamięci i podaje błędny wynik. Myślisz, że ciebie to nie dotyczy? Spróbuj swoich sił i sprawdź, czy unikniesz haczyka. Wystarczy znajomość podstawowych zas...
hub.pl, 2026-02-08 06:35:37
2026-02-08 06:35:37
To proste działanie pokonało internet. Sprawdź, czy dasz radę!
hub.pl
Czy to zadanie da się policzyć szybko, bezbłędnie i w pamięci? Nie każdemu się udaje! Jeśli podejmujesz próbę, a wynik wychodzi za każdym razem innym, problemem może być nieprawidłowa kolejność wykonywania działań. Tu jednak nie ma nad czym dyskutowa...
hub.pl, 2026-02-09 06:32:22
2026-02-09 06:32:22
Proste działanie, które myli większość ludzi. Sprawdź, czy podołasz?
hub.pl
Jak daleko sięga twoja pamięć? Lepiej szybko znajdź w niej to, co potrzebne, aby podać poprawną odpowiedź. Czy już masz bezbłędny sposób na zagadkę matematyczną? Na to powinien wpaść każdy.
hub.pl, 2026-03-12 17:55:06
2026-03-12 17:55:06
Jedno działanie, a tyle błędów. Sprawdź się!
hub.pl
Każdy próbujący wskazać kolejną liczbę popełnia ten sam błąd, przez co zagadka nadal nie zostaje rozwiązana. Jak nie dać się złapać na haczyk? Skorzystaj z nieszablonowego myślenia.
hub.pl, 2026-02-10 17:37:08
2026-02-10 17:37:08
Nad tym zdaniem głowią się dorośli. Działanie wygląda na banalnie proste, a większość i tak robi błąd
edziecko.pl
To działanie, jak donoszą media, miało pojawić się na jednym z testów teoretycznych dla przyszłych kandydatów do pracy policji. Okazuje się, że chociaż wydaje się bardzo proste, wielu osobom sprawiło ogromne trudności. Powód? Niektórzy sądzą, że w po...
edziecko.pl, 2025-09-08 21:33:06
2025-09-08 21:33:06
To proste działanie może sprawić kłopot. Dasz radę bez kalkulatora?
hub.pl
Kłopotliwe działanie wpędziło internautów w kozi róg, mimo że jest banalne. Jak rozwiązać zagadkę matematyczną? Nie potrzebujesz kalkulatora, a jedynie odrobiny sprytu i podstawowej znajomości zasad. Ile to jest 1/4 z 1/2 z 1/5 z 200? Przemyśl dobrze...
hub.pl, 2025-10-24 18:51:32
2025-10-24 18:51:32
Niby proste działanie, a każdego zaskakuje. Wpadniesz w tę pułapkę, czy zachowasz spokój?
edziecko.pl
Ta zagadka matematyczna z kolejnością działań wygląda niepozornie, ale potrafi podzielić ludzi na dwa obozy. Jedni podają wynik w kilka sekund, inni są przekonani, że mają rację, choć popełniają podstawowy błąd. To właśnie takie krótkie równania najc...
edziecko.pl, 2026-02-11 21:33:07
2026-02-11 21:33:07
Myślisz, że to proste działanie? Aż 90 proc. osób liczy je źle
hub.pl
Zadania matematyczne tylko wyglądają banalnie, a tak naprawdę wymagają logicznego myślenia oraz znajomości reguł. Czy właśnie z tych powodów zagadka jest aż tak trudna? Sprawdź, czy znajdziesz się w szczęśliwych 10 proc. z prawidłowym wynikiem.
hub.pl, 2026-03-13 17:52:05
2026-03-13 17:52:05
Prokuratura kończy liczyć głosy z wyborów. Nieoficjalnie: Skala pomyłek jest mikroskopijna
dorzeczy.pl
Prokuratura prawie skończyła ponownie przeliczać głosy z wyborów prezydenckich. Według nieoficjalnych doniesień "Gazety Wyborczej", skala pomyłek jest mikroskopijna.
dorzeczy.pl, 2025-07-18 20:44:02
2025-07-18 20:44:02
Czekasz na 1 mln zł? Pieniądze dotrą w sekundę, bez ryzyka i pomyłek. Wchodzi SORBNET3
spidersweb.pl
Czekasz na 1 mln zł? Pieniądze dotrą w sekundę, bez ryzyka i pomyłek. Wchodzi SORBNET3
spidersweb.pl, 2025-09-10 07:55:17
2025-09-10 07:55:17